전기장의 기본적인 두 가지 가정
전하로부터 발산하는 형태의 electric field가 발생한다.
회전하는 전기장의 source는 없다.
외부에서 가해준 힘을 적분하게 되면 0이 된다. 위치 에너지가 보존이 된다.
쿨롱법칙
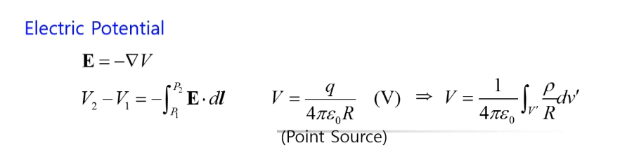
포텐셜
포텐셜을 구할 수 있다.
Electric displacement field
기존 전기장은 진공에 대해서 정의되었다. 그러나, 유전체 등의 편극성 물질에서는
외부 전기장에 의해 분극이 일어나므로 이 물질의 효과까지 고려한 장을 생각할 필요가 있고,
해당 장을 전기 변위장라 한다.
기호로는 D로 나타내며, 단위는 이다.
여담으로, 이것의 자기장 버전이 자기장 세기이며, 기호로는 로 나타내는 벡터 장이다.
유전율이란 무엇인가?
유전율(誘電率, 영어: permittivity) 또는 전매상수는 전하 사이에 전기장이 작용할 때, 그 전하 사이의 매질이 전기장에 미치는 영향을 나타내는 물리적 단위이다. 매질이 저장할 수 있는 전하량으로 볼 수도 있다. 같은 양의 물질이라도 유전율이 더 높으면 더 많은 전하를 저장할 수 있기 때문에, (저장된 전하량이 동일할 때)유전율이 높을수록 전기장의 세기가 감소된다. 그래서 높은 유전율을 가진 물질을 축전기에 넣는 유전체로 사용하면, 축전기의 전기 용량이 커진다.
도전율
Boundary Conditions
Electric field의 접선 방향의 성분은 서로 같다. 법선 방향 성분은 D1과 D2가 같아지는데
surface charge가 있으면 그만큼 차이가 난다.
도체에서의 Boundary Conditions
도체 내부의 전기장은 0이다. why?

D의 법선방향 성분이 ρs와 같다.
Capacitance
Q를 먼저 가정을 해서 가우스 법칙을 적용하기 쉬운 구조면 E를 구한다
곤란한 경우도 있겠지
여러가지 상황에 따라서 포텐셜을 먼저 가정해야할 경우도 있다
포텐셜을 바운더리에 주게 되면 내부에 포텐셜을 구하고
V로부터 E를 구하고 D를 구해서 Q를 구할수 있게 된다고
로우를 구하고 적분해서 Q를 구한다고
결과적으로 C를 구할 수 있게 되는것이지.
포아송 방정식
Uniqueness theorem for Poisson's equation
From Wikipedia, the free encyclopedia
Jump to navigationJump to search
The uniqueness theorem for Poisson's equation states that, for a large class of boundary conditions, the equation may have many solutions, but the gradient of every solution is the same. In the case of electrostatics, this means that there is a unique electric field derived from a potential function satisfying Poisson's equation under the boundary conditions.
Method of images
영상법(映像法, method of images)은 라플라스 방정식의 경계값 문제를 좀 더 쉬운 다른 문제로 바꾸어 푸는 방법이다. 영상법의 타당성은 유일성의 정리에 의해 증명된다. 이 때, 바뀐 문제에서는 원래 문제의 전하에 대응하는 가상의 전하를 추가하므로, 이 가상의 전하를 마치 거울에 비치는 영상에 비유한 것이다.
포아송
4장에서는 바운더리 벨류 문제를 푸는데
포아송 방정식이 필요하단 말이지
포텐셜에대한 포아송 방정식을 구할수있어
가우스 법칙을 사용해서 풀수도 있겠지만
포아송 방정식의 라플라스를 풀어서 전기장을 구할수있어
유니크니스의 조건은
어떤 영역안에 솔루션이 유일하게 하기 위한
경계조건은 DNM 여러가지야
그러면 유니크하게 결정된다
영상법에대해서 말할수가 있지
어떤 지점의 E를 구하라
로우 s로부터 오는 E를 구하기 어렵단말이야
그라운드 되어있으느 V=0
경계조건으로 uniqueness 이론에 의해서
바운더리 컨디션이 같으면 솔루션이 유니크하다고 했지
그래서 여기에 마이너스 q를 가정하면
+q와 -q가 있으면 포텐셜이 0가 되겠지(중간지점이)
+q와 -q에 의해서 발생하는 문제를 푸는게 영상법이야.
Boundary Value Problems
라플라스식을 만족하고
경계조건을 주었을 때 V를 주던가 라운드V 라운드n을 주던가 하면 내부에서 문제를 풀수있게되겠죠
그러한 문제를 푸는 몇가지 케이스에 대해서 풀어봤었죠
전류와 저항등에 관한 이야기를 했었죠
Magnetic charge는 존재하지 않는다.
Ampere's circuital law
Vector Magnetic Potential
비오 사바르의 법칙
Constitutive Relation
In the magnetic material
어떤 마그네틱 물질에 자기장을 걸면
자화 M이 발생한다고 벡터야 이거
M이 발생하면 등가 전류 자하전류는
curl M에 해당한다고
매질 내에서 전류를 흘려주면 자기장이 발생한다고
자화가 일어나게 되서 전 영역에 걸쳐서 자화가 일어나게 된다고
각 영역에 Jm이 발생해서
어떤 지점에 발생하는 자기장이 원래 자기장도 있겠지만
J+Jm이되는거야
양변에 컬을 몰아서 취하면 위와같이 되고
컬H는 J가 되는거야 위 관계식으로부터
magnetic field intensity를 구할수가 있어.
Magnetic susceptibility
자화율
자화율이란、자기 분극의 정도를 나타내는 물성값이다. 자기 감수율, 자기화율이라고 하기도 한다.
'RF 시스템 설계 > 전자기학II' 카테고리의 다른 글
Boundary Conditions for Magnetostatic Field (0) | 2020.09.07 |
---|---|
Poisson's Eq 풀이를 위한 중요 개념 정리 (0) | 2020.09.03 |
[전자기학I] 요약 정리 上 (0) | 2020.09.01 |
[가우스 법칙] [푸아송 법칙][라플라시안] (0) | 2020.08.18 |
[vector][스칼라곱][벡터곱] [coordinate system] (0) | 2020.07.17 |